Conservation of Energy for Ohms/square.

Marietta Scientific, Inc.

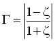
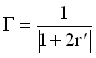
Reflection Coefficient

The reflection coefficient G for a thin sheet of ohms/sq. at normal incidences is

where

and the characteristic impedance of free space is

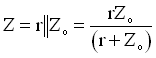
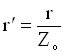
The characteristic impedance for a thin sheet is r in parallel with free space

and r = resistance (ohms/sq.)

Thus the reflection coefficient is: with

 

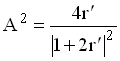
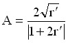
Loss Coefficient

The loss coefficient A is the ratio of the power absorbed in the ohms /sq. to the incident power

where and

The physical optics current J for ohms/sq. at normal incidence is

where incident magnetic field and sheet current (amps/m)

The power absorbed by the ohms/sq. is

Thus the loss coefficient is

or

 

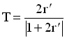
Transmission Coefficient

The transmission coefficient T is the ratio of the power transmitted to the power incident

where

The transmitted and scattering fields are

and

thus

or

 

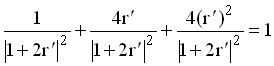
From Conservation of energy

Energy is conserved when

Substituting from the above equations

 

Power Coefficients Vs. Ohms/sq.

Click to see a larger plot